
Greatest common divisor
Did you know...
SOS Children volunteers helped choose articles and made other curriculum material A good way to help other children is by sponsoring a child
In mathematics, the greatest common divisor (gcd), sometimes known as the greatest common factor (gcf) or highest common factor (hcf), of two non-zero integers, is the largest positive integer that divides both numbers without remainder.
Overview
The greatest common divisor of a and b is written as gcd(a, b), or sometimes simply as (a, b). For example, gcd(12, 18) = 6, gcd(−4, 14) = 2 and gcd(5, 0) = 5. Two numbers are called coprime or relatively prime if their greatest common divisor equals 1. For example, 9 and 28 are relatively prime.
The greatest common divisor is useful for reducing vulgar fractions to be in lowest terms. For example, gcd(42, 56)=14, therefore,
Calculating the gcd
Greatest common divisors can in principle be computed by determining the prime factorizations of the two numbers and comparing factors, as in the following example: to compute gcd(18,84), we find the prime factorizations 18 = 2·32 and 84 = 22·3·7 and notice that the "overlap" of the two expressions is 2·3; so gcd(18,84) = 6. In practice, this method is only feasible for very small numbers; computing prime factorizations in general takes far too long.
A much more efficient method is the Euclidean algorithm, which uses the division algorithm in combination with the observation that the gcd of two numbers also divides their difference: divide 84 by 18 to get a quotient of 4 and a remainder of 12. Then divide 18 by 12 to get a quotient of 1 and a remainder of 6. Then divide 12 by 6 to get a remainder of 0, which means that 6 is the gcd.
The series of quotients generated by the Euclidean algorithm compose a continued fraction.
If a and b are not both zero, the greatest common divisor of a and b can be computed by using least common multiple (lcm) of a and b:
Properties
- Every common divisor of a and b is a divisor of gcd(a, b).
 
- gcd(a, b), where a and b are not both zero, may be defined alternatively and equivalently as the smallest positive integer d which can be written in the form d = a·p + b·q where p and q are integers. This expression is called Bézout's identity. Numbers p and q like this can be computed with the extended Euclidean algorithm.
 
- gcd(a, 0) = |a|, for a ≠ 0, since any number is a divisor of 0, and the greatest divisor of a is |a|. This is usually used as the base case in the Euclidean algorithm.
 
- If a divides the product b·c, and gcd(a, b) = d, then a/d divides c.
 
- If m is a non-negative integer, then gcd(m·a, m·b) = m·gcd(a, b).
 
- If m is any integer, then gcd(a + m·b, b) = gcd(a, b). If m is a nonzero common divisor of a and b, then gcd(a/m, b/m) = gcd(a, b)/m.
 
- The gcd is a multiplicative function in the following sense: if a1 and a2 are relatively prime, then gcd(a1·a2, b) = gcd(a1, b)·gcd(a2, b).
 
- The gcd is a commutative function: gcd(a, b) = gcd(b, a).
 
- The gcd is an associative function: gcd(a, gcd(b, c)) = gcd(gcd(a, b), c).
 
- The gcd of three numbers can be computed as gcd(a, b, c) = gcd(gcd(a, b), c), or in some different way by applying commutativity and associativity. This can be extended to any number of numbers.
 
- gcd(a, b) is closely related to the least common multiple lcm(a, b): we have
 
- 
         
- gcd(a, b)·lcm(a, b) = a·b.
 
 - This formula is often used to compute least common multiples: one first computes the gcd with Euclid's algorithm and then divides the product of the given numbers by their gcd. The following versions of  distributivity hold true: 
- gcd(a, lcm(b, c)) = lcm(gcd(a, b), gcd(a, c))
 - lcm(a, gcd(b, c)) = gcd(lcm(a, b), lcm(a, c)).
 
 
- It is useful to define gcd(0, 0) = 0 and lcm(0, 0) = 0 because then the natural numbers become a complete distributive lattice with gcd as meet and lcm as join operation. This extension of the definition is also compatible with the generalization for commutative rings given below.
 
- In a Cartesian coordinate system, gcd(a, b) can be interpreted as the number of points with integral coordinates on the straight line joining the points (0, 0) and (a, b), excluding (0, 0).
 
Probabilities and expected value
The probability that two randomly chosen (unlimited) integers 
 and 
 have a given greatest common divisor 
 is 
. This follows from the characterization of 
 as the integer 
 such that 
 and 
 and 
 are coprime. The probability of two integers sharing a factor 
 is 
. The probability that two integers are coprime is 
. (See  coprime for a derivation.)
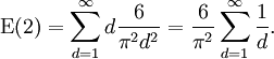
Using this information, the expected value of the greatest common divisor function can be computed. This is
This last summation is the  Harmonic series, which diverges. Hence the expected value of the greatest common divisor of two variables is not well-defined. This is not the case in general, however. For the greatest common divisor of 
 variables, the expected value is well-defined, and by the above argument, it is
where 
 is the  Riemann zeta function.
For 
, this is approximately equal to 1.3684. For 
, it is approximately 1.1106.
if all integers x are limited as 
 then the results can be extended to
where 
 is the  Hurwitz zeta function.
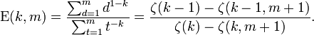
if different 
's are known for different 
 then the lowest 
 is taken.
The gcd in commutative rings
The greatest common divisor can more generally be defined for elements of an arbitrary commutative ring.
If R is a commutative ring, and a and b are in R, then an element d of R is called a common divisor of a and b if it divides both a and b (that is, if there are elements x and y in R such that d·x = a and d·y = b). If d is a common divisor of a and b, and every common divisor of a and b divides d, then d is called a greatest common divisor of a and b.
Note that with this definition, two elements a and b may very well have several greatest common divisors, or none at all. But if R is an integral domain then any two gcd's of a and b must be associate elements. Also, if R is a unique factorization domain, then any two elements have a gcd. If R is a Euclidean domain then a form of the Euclidean algorithm can be used to compute greatest common divisors.
The following is an example of an integral domain with two elements that do not have a gcd:
The elements 
 and 
 are two "maximal common divisors" (i.e. any common divisor which is a multiple of 2 is associated to 2, the same holds for 
), but they are not associated, so there is no greatest common divisor of a and b.
Corresponding to the Bezout property we may, in any commutative ring, consider the collection of elements of the form 
, where p and q range over the ring. This is the  ideal generated by a and b, and is denoted simply 
. In a ring all of whose ideals are principal (a  principal ideal domain or PID), this ideal will be identical with the set of multiples of some ring element d; then this d is a greatest common divisor of a and b. But the ideal 
 can be useful even when there is no greatest common divisor of a and b. (Indeed,  Ernst Kummer used this ideal as a replacement for a gcd in his treatment of Fermat's last theorem, although he envisioned it as the set of multiples of some hypothetical, or ideal, ring element d, whence the ring-theoretic term.)





![R = \mathbb{Z}\left[\sqrt{-3}\right],\quad a = 4 = 2\cdot 2 = \left(1+\sqrt{-3}\right)\left(1-\sqrt{-3}\right),\quad b = \left(1+\sqrt{-3}\right)\cdot 2.](../../images/184/18487.png)
